截至2022年1月中旬,试点22城已完成2021年全部三轮集中土拍,整体来看三轮土拍温度虽仍低迷,但在个别低库存城市已初现转暖迹象,同时房企拿地利润空间改善明显。考虑到当前政策方向虽明确但力度仍存不确定性,楼市销售料短期内仍以底部震荡为主,行业出清过程仍在持续,我们继续提示均好型优质龙头的配置机会(个别房企信用风险及2021年业绩压力扰动可能为优质龙头提供逢低买入契机)。

摘要

2021年两集中试点城市推地量同比微增,三轮集中土拍准入条件边际略松。2021年试点22城共三轮集中土拍累计推出宅地宗数同比增加6%,但成交宗数同比下降6%,下半年推地宗数占比57%。三轮集中土拍方案较二轮无明显变化,但保证金比例较二轮边际下行2.3ppt至25.2%,4城降幅超10ppt。

三轮集中土拍质增量减,流拍率下行、利润率改善明显。三轮集中土拍累计推出728宗宅地,成交575宗,流拍率较二轮下行12ppt降至21%,成交宅地对应建面和金额分别较二轮下行11%和8%至6329万平和5948亿元。同时,三轮成交地块质量较二轮提升明显(潜在售价上涨11%)但地货比仍下行0.009至0.437,潜在利润空间(潜在售价与地价差值)增加约1529元/平,对应拿地税前毛利率和净利率分别较二轮增加4ppt和2ppt至28.3%和8.8%。

土地市场温度整体虽仍低迷但在个别低库存城市略有回暖;三轮集中土拍中地方国企拿地占比显著增加,民企基本持平,央企边际下降。分城市来看,三轮集中土拍中成交金额边际走高的11城,其对应狭义库存去化月数较平均水平短约三成,其中3城溢价率也边际走高,初现回暖迹象。分企业性质来看,三轮集中土拍中地方国企拿地金额提升15ppt至54%,拿地质量和利润空间也明显走高(平均售价涨幅达28%,地货比边际下行0.029至0.410);民企拿地金额边际略增2ppt至30%,央企边际下行17ppt至16%。分企业规模来看,销售Top50的龙头房企拿地金额占比进一步缩减21ppt至20%,其中保利、华润、招商蛇口、龙湖、绿城拿地金额名列前十,销售Top30-50的中型房企拿地份额缩减至零附近。

2021年全国宅地成交结构向基本面较好的城市明显侧重。2021年300城宅地成交建面同比跌幅达-24%,其中试点22城和非22城分别同比下降6%和31%;但宅地成交金额同比仅跌7%,其中22城和非22城分别同比增长6%和下跌19%;对应22城宅地成交建面和金额占比均较此前三年提升6-7ppt。

风险

政策端正向调整力度不及预期,房企信用风险超预期恶化。

正文

2021年三轮集中土拍汇总

三轮集中土拍推出地块质增量减,流拍率下行、利润空间改善

22城供地总量微增、成交总量微降,整体供地节奏侧重下半年。截至2022年1月18日,2021年针对22个试点城市的三轮集中土拍已全部结束。整体来看,22城累计供应宅地宗数较2020年增加6%,各城市涨跌幅在83%至-20%不等;但累计成交宅地宗数较2020年下跌6%,各城市涨跌幅在43%至-38%不等。节奏上看,首轮、二轮、三轮集中土拍的推地时间分别集中于三至四月、七至八月、十一月,成交时间大多较供地时间滞后一个月左右,推地和成交节奏均更加侧重于下半年(上半年推地宗数占比仅43%)。往前看,考虑到2022年楼市景气度大概率仍是前低后高,我们预计22城推地节奏预计还将侧重于下半年。

图表:2021年集中土拍试点城市供地节奏

图片

注:浅红色阴影标识了各城市集中供地月份,颜色由浅到深分别对应首轮、二轮和三轮集中土拍;青岛、杭州、深圳二轮集中土拍挂牌公告曾经撤销并重新挂牌,整理过程中已剔除被撤销的挂牌信息,以加粗、下划线标识。

资料来源:中指数据库,各地方自然资源局官网,中金公司研究部

三轮集中土拍方案整体变动不大,平均保证金比例微降。自二轮集中土拍明确限制使用“竞配建/自持”后,土拍方式已初步形成“限房价,限地价,摇号/一次报价/竞高标方案”同时“禁马甲”、要求“房企自有资金竞拍”的成熟模式;与之相比,三轮土拍方式并无明显变化,仅极个别城市保留“竞自持/可售人才房/首期付款比例”步骤,多数有建设保障性租赁住房或市场化租赁住房需求的城市,会在宅地挂牌方案中即设定固定比例的租赁住房配建要求,而非要求房企在土拍过程中竞争相应比例。此外,三轮集中土拍平均保证金比例较二轮略下行2.3ppt至25.2%(二轮较首轮略上升1.3ppt),降幅较为明显的城市包括南京(-22ppt)、苏州(-18ppt)、长沙(-11ppt)、青岛(-10ppt)、济南(-9ppt)、武汉(-7ppt)。

图表:2021年三轮集中土拍各城市土拍方式对比表

图片

资料来源:中指数据库,各地方自然资源局官网,中金公司研究部

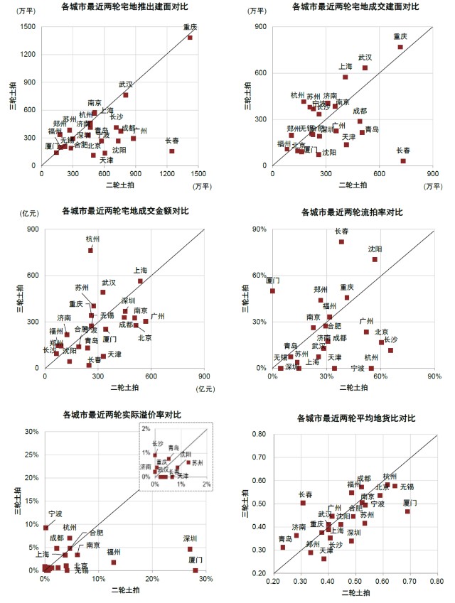
三轮集中土拍推地量、流拍率边际下行,推地质量提升、拿地利润空间改善明显。从总量视角来看,三轮集中土拍中共推出宅地728宗,较二轮下降25%,最终成交575宗,流拍率较二轮下行12ppt至21%(其中不乏个别城市提前摸排房企拿地意愿,主动削减地块推盘计划所造成的影响),对应成交建面为6329万平(较二轮下降11%),成交金额5948亿元(较二轮下降8%)。从单价视角来看,三轮集中土拍成交地块质量较二轮提升明显(潜在售价涨幅达11%)但地货比仍下行约0.009至0.437,对应房企拿地利润空间增加约1529元/平方米(以潜在售价和地价之差衡量),拿地税前毛利率和净利率分别较二轮增加4ppt和2ppt至28.3%和8.8%(二轮分别为24.3%和6.8%,首轮分别为22.5%和5.8%)。需要明确的是,此处假设为平均售价基本保持拿地时价格,不考虑房价未来上行或下行对利润空间的正向和负向影响。

图表:2021年三轮集中土拍综合指标对比

图片

资料来源:中指数据库,各地方自然资源局官网,中金公司研究部

分城市来看,三轮集中土拍中部分低库存城市初现回暖迹象

三轮集中土拍中部分低库存、快去化城市初步显现回暖迹象。分城市来看,22个两集中试点城市中仅6城三轮推地建面超过二轮,但最终有10城的成交建面和11城的成交金额超过二轮,这背后是三轮集中土拍中各城市流拍率的普遍走低(15城流拍率低于二轮)。成交金额走高的11城包括重庆、无锡、杭州、福州、济南、宁波、苏州、长沙、郑州、上海和武汉,多为库存偏低、去化较快的城市(上述11城2021年4季度平均批准上市未售库存去化月数为9.5个月,可观测到的43城同期同口径去化月数约14.1个月),土地市场的边际回温在这类城市已初露头角,其中宁波、杭州、成都的溢价率也较二轮明显提升,反映其复苏更为积极。此外,22城中15城三轮地货比均较二轮有所下行,房企拿地利润空间的边际改善较为普遍。

图表:三轮与二轮集中土拍各城市关键指标对比

图片

资料来源:中指数据库,各地方自然资源局官网,中金公司研究部

分企业来看,地方国企成为拿地主力,Top30-50中型房企收缩明显

三轮集中土拍中地方国企成为拿地主力,同时其获取土地的质量和利润空间均有所提升,龙头房企拿地规模继续萎缩,其中腰部中型房企拿地规模已缩减至零附近。

以企业性质划分,三轮集中土拍中地方国企拿地份额进一步提升(成交建面和金额占比分别提升12ppt和15ppt至56%和54%),民营企业拿地份额基本持平(成交建面占比略降2ppt至31%,成交金额占比略升2ppt至30%),央企拿地份额明显下行(成交建面和金额占比分别降低10ppt和17ppt至13%和16%)。其中地方国企不仅拿地份额抬升明显,拿地质量也有所优化(成交地块潜在售价环比二轮提升28%),同时地货比下行明显(三轮0.410 vs. 二轮0.439),对应潜在利润空间较二轮边际增长3923元/平米。

分主营业务来看,尽管三轮集中土拍中房企拿地仍是绝对主力,但非房企拿地份额也有所提升(拿地建面和金额占比分别提升7ppt和8ppt至17%和16%),其中工程基建物管类企业提升尤为明显(这可能与三轮以地方国企为主的拿地结构直接相关)。进一步对房企拿地按照企业规模划分,销售Top50的龙头房企拿地份额进一步萎缩(拿地建面和金额占比分别下降13ppt和21ppt至15%和20%),其中销售Top30房企中拿地主力包括保利发展、华润置地、招商蛇口、龙湖集团、绿城中国,均位列三轮拿地金额前十名内,销售Top30-50这类中型房企的拿地份额已缩减至零附近(一定程度上体现其年末资金面压力)。

图表:2021年三轮集中土拍中房企拿地结构对比(按所有制性质划分)

图片

资料来源:中指数据库,各地方自然资源局官网,企业信用信息登记查询系统,中金公司研究部

图表:2021年三轮集中土拍中房企拿地结构对比(按主营业务划分)

图片

资料来源:中指数据库,各地方自然资源局官网,企业信用信息登记查询系统,中金公司研究部

图表:2021年三轮集中土拍中房企拿地结构对比(按企业规模划分)

图片

注:为实现横向可比,此处定义销售额排名前N位的方式以2021年6月克而瑞房企销售榜单为准。

资料来源:中指数据库,各地方自然资源局官网,企业信用信息登记查询系统,中金公司研究部

2021年土地市场整体情况

2021年宅地成交建面跌幅逾两成,结构上更侧重于高能级城市

2021年宅地成交建面跌幅逾两成,金额跌幅仅个位数,成交结构上更侧重高能级城市。2021年300城宅地成交建面同比跌幅达-24%,其中“两集中”试点22城和非22城分别同比下降6%和31%;但宅地成交金额同比仅跌7%,其中22城和非22城分别同比增长6%和同比下跌19%。从22城和非22城的差异性来看,年内土地成交结构较为明显地向基本面更好的城市有所倾斜(试点22城宅地成交建面和金额占比均较此前3年提升6-7个百分点),符合我们此前在2022年度策略《下行周期下的格局重塑和企业突围》中提出的长期土地供应结构演变方向。此外,全年流拍率走高和溢价率下行的趋势在22城和非22城均有所体现。

图表:历年土地市场关键指标情况

图片

资料来源:中指数据库,中金公司研究部

附录:两轮集中土拍主要房企拿地排名

图表:三轮集中土拍中主要房企拿地建面排名

图片

注:三轮土拍对于联合拿地的处理有所不同,首轮每个联合拿地方计入该地块100%建面,二轮、三轮每个联合拿地方计入等分后的地块建面;黄色字体的房企为第三轮土拍建面排名进入前30名的房企,蓝色字体的房企为第二轮土拍建面排名进入前30名的房企,红色字体的房企为首轮土拍建面排名进入前30名的房企。

资料来源:中指数据库,各城市自规局官网,中金公司研究部

图表:三轮集中土拍中主要房企拿地金额排名

图片

注:三轮土拍对于联合拿地的处理有所不同,首轮每个联合拿地方计入该地块100%金额,二轮每个联合拿地方计入等分后的地块金额;黄色字体的房企为第三轮土拍金额排名进入前30名的房企,蓝色字体的房企为第二轮土拍金额排名进入前30名的房企,红色字体的房企为首轮土拍金额排名进入前30名的房企。

资料来源:中指数据库,各城市自规局官网,中金公司研究部

估值

图表:A股地产公司历史NAV折让水平和远期市盈率

图片

资料来源:公司公告,万得资讯,中金公司研究部

图表:港股地产公司历史NAV折让水平和远期市盈率

图片

资料来源:公司公告,万得资讯,中金公司研究部

文章来源

本文摘自:2022年1月25日已经发布的《三轮土拍:质增量减,局部回暖,利润改善》

张宇 SAC 执证编号:S0080512070004 SFC CE Ref:AZB713

王璞 SAC 执证编号:S0080520050003 SFC CE Ref:BOL362

李昊 SAC 执证编号:S0080120080057

本文转载自《中金点睛》

相关证券:
  • 中金中证沪港深优选消费50指数A(008519)
  • 中金MSCI中国A股红利指数A(006351)
  • 中金消费升级(001193)
追加内容

本文作者可以追加内容哦 !