红利投资正当时!想要把握国企改革和高红利策略双重投资机遇,但是你是否知道投资中证国企红利指数的收益来源是什么?什么是红利策略?高分红标的的来源有哪些?……今天本文带你一起揭开低估值、高分红的华安中证国企红利ETF(561060)的神秘面纱!快来一起看看吧~
Q1:投资中证国企红利指数的收益来源是什么?
投资中证国企红利指数的收益来源于资本利得和红利收入两部分。
资本利得部分可拆分为国企价值重估和国企盈利质量改善两部分,前者指中国特色现代资本市场体系下,国企价值再发现;后者指国企改革不断深化,国企盈利质量显著提升。
股息收入即高分红,中证国企红利指数过去十年平均分红率4.6%(数据来源:Wind,截止时间:2023/7/20)
Q2:国有经济和国有企业在国民经济中扮演怎样的角色?
国有经济是我国经济与社会稳定的压舱石,在关系国家安全与国民经济的主要领域中具有的重要支柱的地位。2022年国有企业营业总收入达53.49万亿元,占当年GDP总额121万亿元的44%。
国有企业主要分布在关系国家安全和国民经济命脉的重要行业和关键领域,包括机械设备、基础化工、交通运输、公用事业、建筑装饰等行业,在产业链当中偏中上游。国有企业在煤炭、公用事业、石油石化与建筑装饰等行业占据主导地位,市值占所在行业市值比重超过了80%。
图:上市国企净利润(亿元)及比重

图:国有企业市值占上市公司比重

Q3:国企在经济发展中具备怎样的优势?当前国企估值情况如何?
从保障安全看,国企具备克服难点、打通堵点的规模优势
粮食安全:打造现代一体化农业产业体系,筑牢粮食安全防线
能源安全:一次能源探产并进,保障基础油气供应;电能供需平衡问题突出,新能源消纳需国有资本统筹布局
产业链自主可控重要性凸显:国企在实现重大关键难题的攻坚方面独具优势,是提升产业链韧性和安全的重要动力源
军事体系建设:构建一体化国家战略体系和能力需要强大的军工产业体系支撑,大型国企责无旁贷
从促进高质量发展看,国企具有资源禀赋与技术先发优势
资源禀赋层面,国企具备良好的资源基础和先期布局优势,形成持续产业竞争力和协同整合空间
国央企在技术层面,具备长期持续投入积淀,具有高端技术的研发布局基础
国企价值现实与创造不匹配,国企上市公司面临估值偏低,价值实现与价值创造不匹配的问题。中证国企指数PE长期低于中证民企指数。从A股上市公司情况来看,市场对其估值定价偏低。当前,A股上市公司PE TTM中位数为26倍,国有企业PE TTM中位数为23.8倍,显著低于民营企业27倍的PE水平。
图:中证指数 PETTM 估值对比(倍)

图:中证指数 PETTM 估值对比(倍)

Q4:当前国企改革进程与成效如何?
国企改革深化提升:
国企改革步入新征途,中国式现代化背景下高质量发展是首要任务,全球地缘政治矛盾日益突出,2023 年稳增长目标明确,国有企业作为“大国重器”任务艰巨。国企改革政策在总体基调上一脉相承。党的十八大以来,党中央作出战略布局,加强顶层设计,出台了国企改革“1+N”政策体系,为新时代国企改革搭建了“四梁八柱”;《国企改革三年行动计划方案(2020-2022)》提出了五大目标和八方面重点任务。
图:改革开放后,我国国企改革四阶段

聚焦提高企业核心竞争力和增强核心功能:
坚持“一个目标”、用好“两个途径”、发挥“三个作用”,助力实现中国式现代化。2023年2月23日,新任国资委主任张玉卓在国新办“权威部门话开局”系列主题新闻发布会上首次亮相,表示未来国有企业要坚持“一个目标”、用好“两个途径”、发挥“三个作用”我们预计未来国有企业改革将更加聚焦“两个用途”,即提高核心竞争力和增强核心功能,具体来看可能包括加大技术投入规模、提升管理效率、推进市场化战略重组等多个方面

国企改革成效显著,激活国企“一池春水”:
盈利能力有所改善,降成本改革成效明显
图:上市国企各项费用率中位值

资产负债率降低,偿债能力显著增强
图:上市国企资产负债率和流动比率中位值

治理机制不断完善,股权激励普遍实施,薪酬改革收效显著
图:上市国企公布股权激励方案数量(单位:个)

聚焦关键卡脖子领域,加大自主创新投入
图:上市国企平均研发支出中位值及同比增速

Q5:什么是红利策略?高分红标的的来源有哪些?
红利策略,是指以分红率为核心指标的选股策略。通过选取现金流稳定、长期稳定分红、分红比例较高的上市公司,获取长期稳健收益。
红利策略更侧重于长期稳定的红利收益,而非股票上涨所带来的资本利得收益。红利再投资策略能够更好地发挥复利效应,因此受到了专业投资者的青睐。

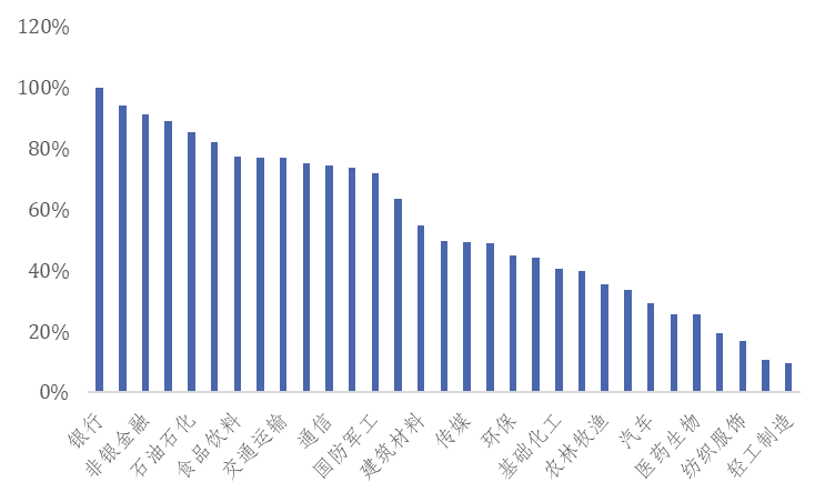
按照特征对高分红率的行业进行分类,主要可以分为两大类:
高分红率来源于低市盈率的行业,主要以金融地产和周期板块为代表,例如煤炭(4.6%)、银行(4.5%)、石油石化(3.9%)、钢铁(3.8%)、房地产(3.2%)等;
高分红率来源于高分红支付率,主要以消费板块为代表,例如纺织服装(2.4%)、家用电器(2.3%)等。
图:近5年各行业分红率均值(%)

Q6:红利策略的历史表现如何?
从海外成熟市场来看,红利策略长期表现优异。从长期投资的角度来看,红利回报在总回报中占据重要地位。标普 500 红利贵族指数(S&P High Yield Dividend Aristocrats)是追踪过去 25 年每年持续增加红利发放的标普 500 成分公司的指数,从下图中可以看到,标普 500 红利贵族指数显著跑赢了同期标普500 指数。
图:标普 500 红利贵族指数与标普500 指数表现对比

市场下行期/震荡期红利策略防御属性凸显。国企红利指数在过去19年中有13年跑赢沪深300指数,且红利策略在市场震荡下行阶段相对较强的抵御风险能力。
图:国企红利指数与沪深300指数表现对比

低利率环境下红利策略性价比凸显。中证国企红利指数股息率(过去 12 个月)与 10 年期国债收益率的差值目前处于历史高位区间,红利策略配置优势显现。
图:中证国企红利指数股息率(%)与 10 年期国债收益率(%)对比

Q7:中证国有企业红利指数编制方法是怎样的?行业及成份股分布如何?
中证国有企业红利指数(000824)挑选在沪深两市上市的国有企业中现金股息率高、分红比较稳定、且有一定规模及流动性的100只股票作为样本,以反映国有企业群体中高红利股票的整体状况。

中证国企红利指数行业分布较平均,相对侧重于银行、交通运输、房地产等高分红行业。
图:指数行业分布(%)

前十大成分股的总权重为14.6%,包括中国石化、交通银行、宝钢股份、大秦铁路等传统周期行业行业、金融龙头公司,分红率突出
表:国企红利指数前十大权重股

Q8:中证国有企业红利指数长期业绩表现和股息支付情况如何?
过去十年,中证国企红利全收益指数的累计收益率达到271.6%,显著高于同期的上证50全收益、沪深300全收益、红利收益及同类央/国企红利全收益指数。
图:全收益指数走势对比

中证国企红利全收益指数的年化夏普比率为0.73,领先同类指数及市场主要宽基收益指数,说明其获得超额收益的能力相比较而言更为出色。
图:全收益指数业绩表现

历史股息支付率稳定:自2013年期,中证国企红利指数的现金分红总额稳步抬升,股息支付率超过30%,分红公司数量由最初的40余家提升至目前的90家以上。
图:指数现金分红总额及股息支付率

图:指数历年分红明细

Q9:当前中证国有企业红利指数估值情况如何?
纵向比较看,中证国企红利指数市盈率(PE-TTM)为5.64倍,处于指数上市以来历史分位数7.28%的位置。
图:中证国企红利指数估值

横向比较看,中证国企红利指数市盈率及市净率均低于上证指数、沪深300等宽基指数,相对其他同类宽基指数投资性价比更高。
图:各指数估值对比

Q10:华安中证国有企业红利ETF的费率结构是什么?
华安中证国有企业红利ETF的费率结构如下:

一指投资高分红国企,掘金国企红利机遇!低利率环境下红利策略性价比凸显。认准华安中证国企红利ETF,代码:561060。$国企红利ETF(SH561060)$
$中国石化(SH600028)$$交通银行(SH601328)$#限售股出借规则将被进一步论证评估##罚得越狠A股越稳##A股成交额创年内新低#@东方财富资讯君 @东方财富创作小助手
本文作者可以追加内容哦 !